• Предмет: Алгебра
  • Автор: Аноним
  • Вопрос задан 3 года назад

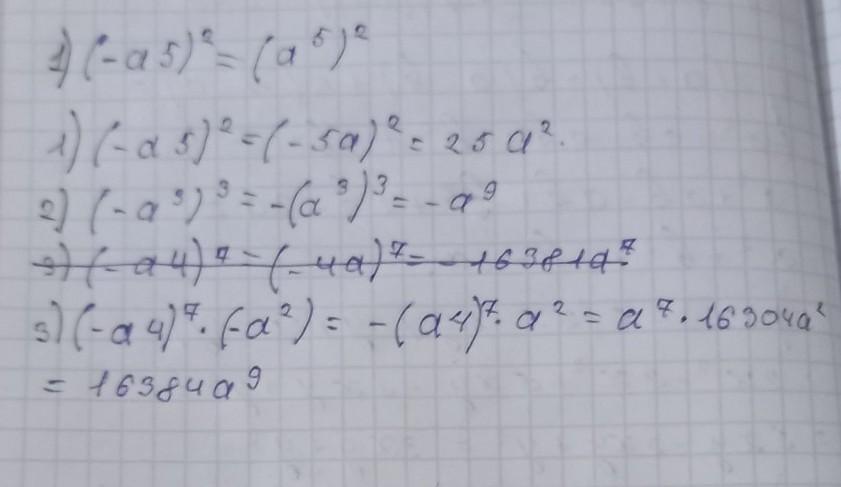
Спростіть 1) (-a5)²; вираз: 2) (-a³)³; 3) (-a4)7 ·(-a²)“.поможіть дам 50​

Ответы

Ответ дал: gulbahor213
1

Ответ:

Все на фото................

Приложения:
Вас заинтересует