• Предмет: Алгебра
  • Автор: Аноним
  • Вопрос задан 3 года назад

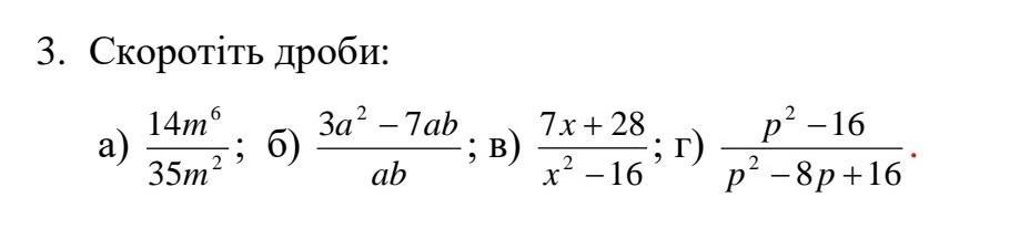
!!! СРОЧНО!!! Алгебра 8 класс ​

Приложения:

Ответы

Ответ дал: lvv9136
1

Ответ:

Объяснение:

a) =0.4m⁴; б) =а(3а-7в)/(ав)=(3а-7в)/в; в) =7(х+4)/((х-4)(х+4))=7/(х-4); г) =(р-4)(р+4)/(р-4)²=(р+4)/(р-4)

Вас заинтересует