• Предмет: Физика
  • Автор: masvaleriya2109
  • Вопрос задан 3 года назад

даю 60 балов
Нужно решить задачу с полным решением, не просто ответ.
Заранее спасибо

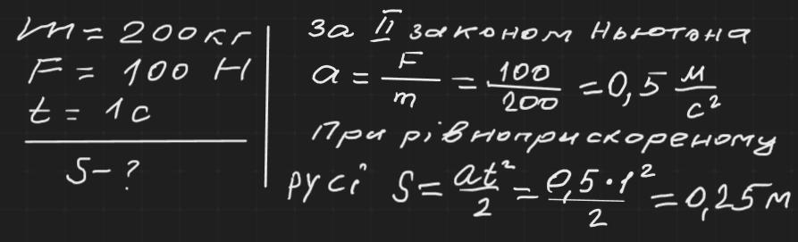
Тіло масою 200кг за першу секунду набуває прискорення під дією сили 100н. Який шлях необхідно пройти тілу, щоб набути такого прискорення?​

Ответы

Ответ дал: zybkov1950
1

Відповідь: 0,25 м

Пояснення:

Приложения:
Вас заинтересует