• Предмет: Алгебра
  • Автор: rayzialie
  • Вопрос задан 3 года назад

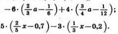
потрібно розкрити дужки та звести подібні доданки

Приложения:

davidgirin777: ещё 5 мин

Ответы

Ответ дал: davidgirin777
1

Ответ:

Объяснение:

сорян за качество

Приложения:
Вас заинтересует