• Предмет: Геометрия
  • Автор: alextyutikova
  • Вопрос задан 3 года назад

35 баллов!
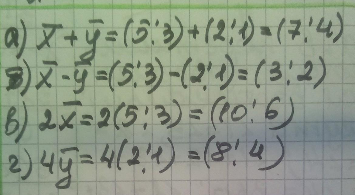
Даны векторы х(5:3) и у(2:1). Найдите координаты:
а) х + у
б) х-у
в) 2х
г) 4у

Ответы

Ответ дал: manyny06
1

Ответ:

решение смотри на фотографии

Приложения:

alextyutikova: Спасибо!!!
Вас заинтересует