Ответы
Ответ дал:
1
Ответ:
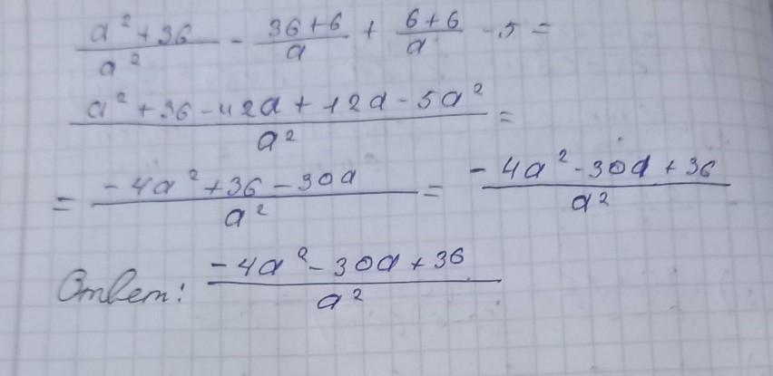
Все на фото.............
Приложения:

Вас заинтересует
2 года назад
2 года назад
2 года назад
2 года назад
7 лет назад