Ответы
                                            Ответ дал: 
                                                                                    
                                        
                                            
                                                
                                                
                                                
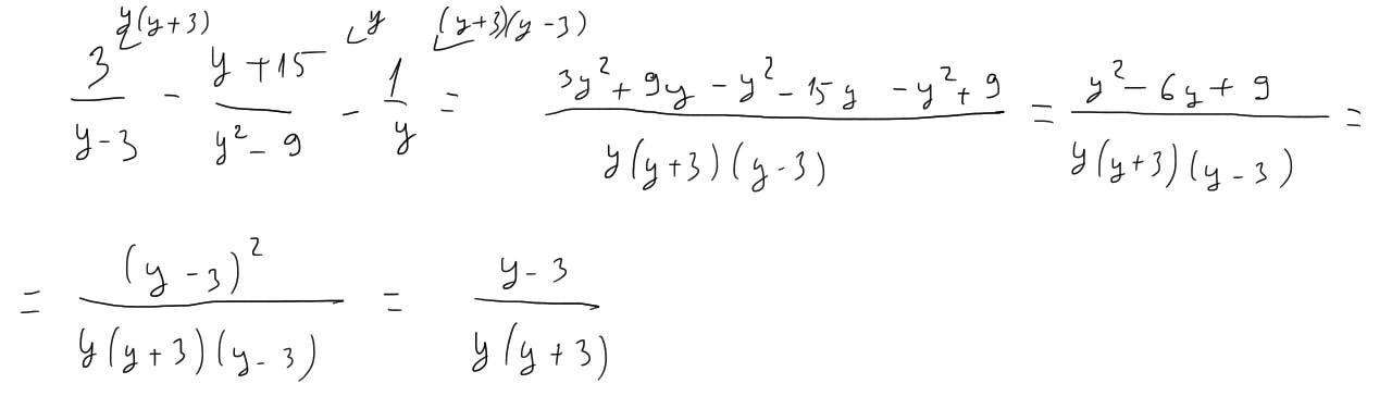
                                                    1
                                                
                                            
                                        
                                    Ответ:
типа того
Объяснение:
Приложения:
                    
                            
                    PopadychLukas:
                    супер, спасибо). Поможешь и ещё з одним?
                
            
                    
                    давай
                
            
                    
                    даю
                
            
                    
                    то самое только
                
            
                    
                    просто х а не у
                
            
                    
                    не понял с чем нужно помочь-то ещё? не вижу у тебя больше вопросов
                
            
                    
                    у меня телефон сел, ща подзаряжу и дам вопрос
                
            
                    
                    всее
                
            Вас заинтересует
                
                        2 года назад
                    
                
                        2 года назад
                    
                
                        2 года назад
                    
                
                        7 лет назад
                    
                
                        7 лет назад
                    
                
                        9 лет назад