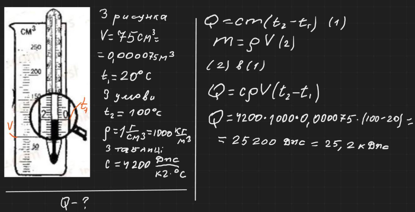
У мірний циліндр налито воду (див. рисунок). Скориставшись рисунком, визначте кількість теплоти, яку необхідно передати цiй воді, щоб довести її до кипіння. Густина води 1 г/см3.
Приложения:

Ответы
Ответ дал:
8
Ответ:
Объяснение:...........
Приложения:

Cohendd:
Учитесь снимать показания приборов.
Ответ дал:
4
Відповідь: 25,2 кДж
Пояснення:
Приложения:

Вас заинтересует
2 года назад
2 года назад
2 года назад
7 лет назад