Ответы
a) 6x-5x ^ 2 = 0
x(6-5x)=0
x=0 v 6-5x=0
x=6/5
b) 25x ^ 2 = 1
25x²-1=0
(5x-1)(5x+1)=0
5x-1=0 v 5x+1=0
x=1/5 v x=-1/5
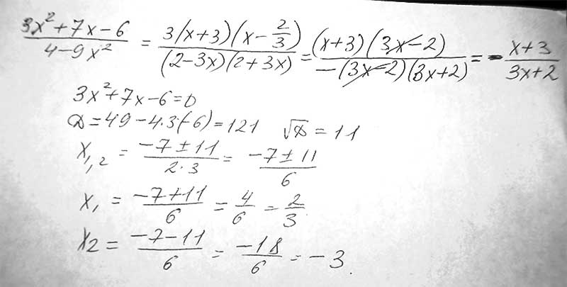
3x²+7x-6 (x+3)(x-2/3) (x+3)(x-2/3) x+3
------------ = ------------------ = -------------------- = - --------
4-9x² (2-3x)(2+3x) -3(x-2/3)(2+3x) 9x+6
3x²+7x-6
Δ=49-4*3*(-6)=121
√Δ=11
x1=(-7-11)/6=-3
x2=(-7+11)/6=2/3
3x²+7x-6=(x+3)(x-2/3)
а)6х-5х^2=0
х(6 - 5х) = 0
х = 0 или 6 - 5х = 0
5х = 6
х = 6/5
ОТВЕТ: 0 ; 6/5.
б)25х^2=1
25х^2 - 1 = 0
(5х - 1)(5х + 1) = 0
5х - 1 = 0 или 5х + 1 = 0
5х = 1 или 5х = - 1
х = 1/5 или х = - 1/5
ОТВЕТ: 1/5; -1/5.
сократите дробь: решение в файле
