• Предмет: Алгебра
  • Автор: PaintNavernoe
  • Вопрос задан 3 года назад

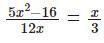
Користуючись властивістю пропорції, розв’язати рівняння:

Приложения:

Ответы

Ответ дал: ostapenko981
2

Объяснение:

15x^2-48=12x^2

3x^2-48=0

3(x^2-16)=0

x^2-16=0

x^2=16

x=-4;4


valeriyazabolotna: хы.. вся ирония в том, что решение не уверенна что правильное, но ответ совпадает с верным к ответу на тот вопрос.. чт
ostapenko981: ответ правильный,поверьте)
ostapenko981: и решение тоже
valeriyazabolotna: да, только пропустили один из пунктов изза чего показалось, что єто не тот пример Х)
kimkarina953: Здравствуйте. вы не могли бы мне помочь Завтра с алгеброй пожалуйста умоляюю
Вас заинтересует