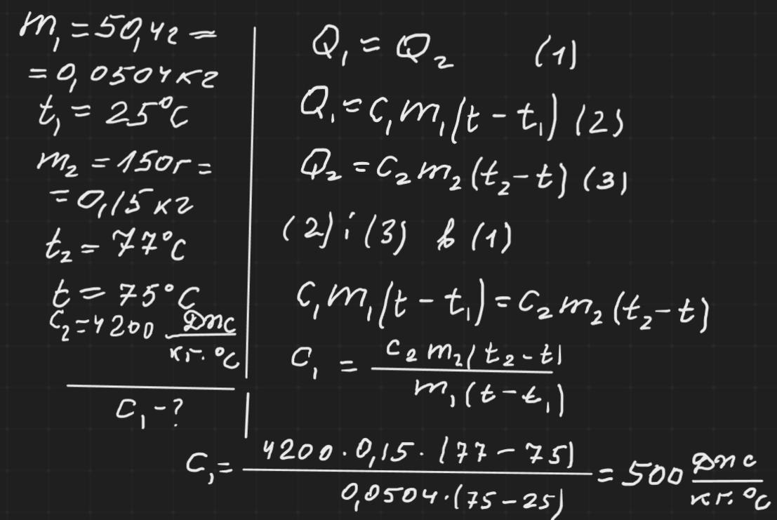
Ложку масою 50,4 г за температури 25 градусів Цельсія опустили в склянку з гарячою водою. Маса води у склянці 150 г, ії температура 77 градусів Цельсія. З якого матеріалу виготовлено ложку, якщо після встановлення теплової рівноваги температура води знизилась до 75 градусів Цельсія? Втратами енергії знехтуйте.
Правильный ответ: с = 500 (Дж/кг*С) - сталь
НО МНЕ НУЖНО РЕШЕНИЕ В ЗАПИСИ ПОЛНОСТЬЮ ПОМОГИТЕ ПОЖАЛУЙСТА
Ответы
Ответ дал:
5
Відповідь: 500 (Дж/кг*С)
Пояснення:
Приложения:

leshaaaaaaa14:
Боже мой ты хороший спасибо
Вас заинтересует
2 года назад
2 года назад
7 лет назад
9 лет назад