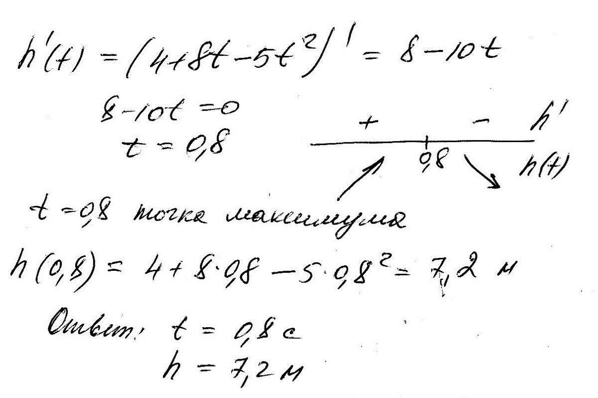
Тело, выпущенное вертикально вверх, движется по закону h(t)=4+8t-5t^2. Через сколько секунд тело достигнет наивысшей точки и на каком расстоянии от земли?
Ответы
Ответ дал:
0
Решение ниже в приложении
Приложения:
Вас заинтересует
3 года назад
3 года назад
8 лет назад
8 лет назад
11 лет назад
11 лет назад
11 лет назад
11 лет назад