• Предмет: Физика
  • Автор: bimaketop
  • Вопрос задан 3 года назад

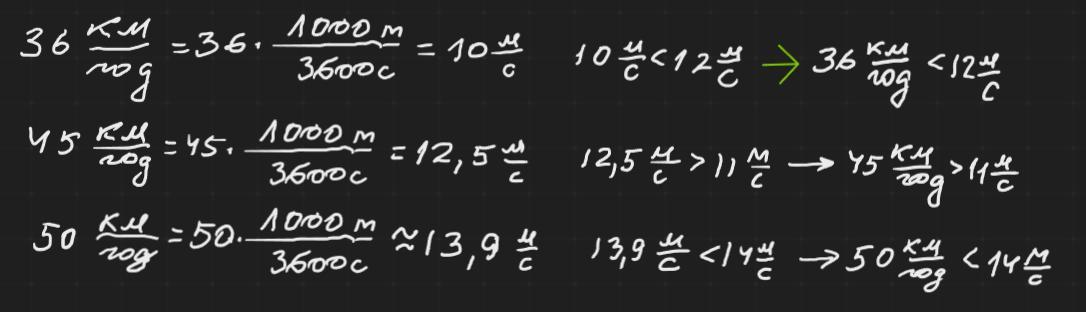
ДАЮ 40 БАЛЛОВ СРОЧНО! Порівняти, привівши до однакових одиниць вимірювання 36км/год та12м/с 45км/год та 11м/с 50км/год та 14/м/с​

Ответы

Ответ дал: zybkov1950
0

Відповідь: Див. додаток

Пояснення:

Приложения:

bimaketop: спасибо большое
Вас заинтересует