• Предмет: Физика
  • Автор: shurik420
  • Вопрос задан 3 года назад

З висоти 100 м без початкової швидкості падає тіло. Визначте швидкість руху тіла в момент торкання землі.

Ответы

Ответ дал: zybkov1950
1

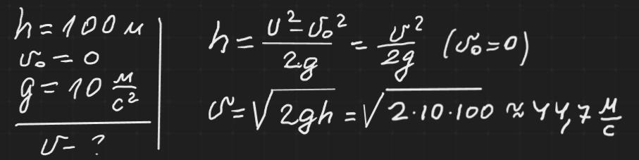
Відповідь: ≈ 44,7 м/с

Пояснення:

Приложения:

shurik420: спасибо большое
marif58: приаіт! допоможи будь-ласка з фізикою (бажано малюнком) завдання в профілі...буду дуже вдячнааа
Ответ дал: dyexfnf
1

Ответ:

Объяснение:

Дано:

U₀ = 0

h = 100м

Знайти: U -?

Використовуємо формулу h = (U² - U₀²)/2g

U = √2gh = √2 * 10 * 100 = √2000 ≈ 44,7 м/с


gdfgldfgkdfk: допоможіть будь ласка
gdfgldfgkdfk: в профілі
Вас заинтересует