• Предмет: Физика
  • Автор: masadacenko64
  • Вопрос задан 3 года назад

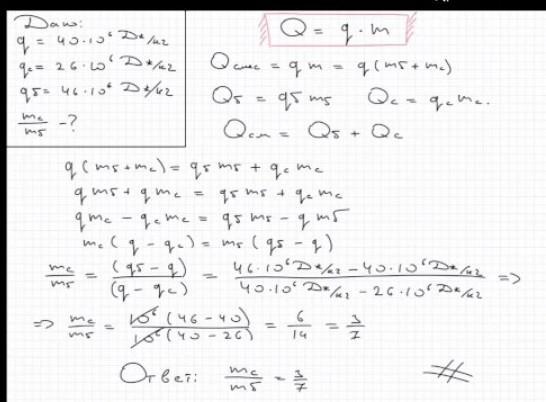
Яке відношення мас спирту й бензину в суміші, питома теплота згоряння якої 40 МДж/кг?

Ответы

Ответ дал: 3199055ya
0

Объяснение:

вроде бы так........................................

Приложения:
Вас заинтересует