• Предмет: Алгебра
  • Автор: krossford
  • Вопрос задан 3 года назад

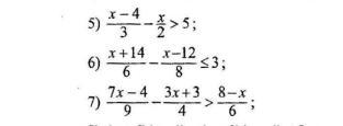
ПОМОГИТЕ СРОЧНО!!!!!!!!Решите неравенство 3 примера

Приложения:

Ответы

Ответ дал: masha3008a
0

я не знаю , решайте сами . у родителей спроси , или про мат скачай..


11angelina2009: Відповіть : 1)х<-38
11angelina2009: 3)ø
11angelina2009: 2)x<-20 но в низу біля< таку риску постав _
Вас заинтересует