• Предмет: Алгебра
  • Автор: BastiDaniluk
  • Вопрос задан 3 года назад

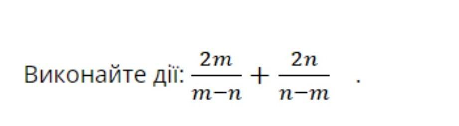
даю 40 баллов, помогите пожалуйста ​

Приложения:

Ответы

Ответ дал: iramazurk
0

Ответ:

2

Объяснение:

2m/(m - n) + 2n/(n - m) =

2m/(m - n) + 2n/-(m - n) =

2m/m - n) - 2n/(m - n) =

(2m - 2n)/(m - n) = 2(m - n)/(m - n) =

2/1 = 2

Вас заинтересует