• Предмет: Алгебра
  • Автор: turmarana021
  • Вопрос задан 3 года назад

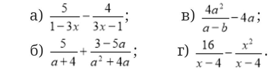
4. Подайте у вигляді дробу:
СРОЧНОООО ДАЮ 40 БАЛЛОВ ​

Приложения:

Ответы

Ответ дал: Polina090506
1

Ответы на примеры в файле

Приложения:
Вас заинтересует