• Предмет: Алгебра
  • Автор: godlyssj111cf
  • Вопрос задан 3 года назад

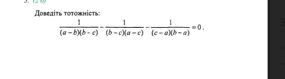
Доведіть тотожність. Треба дуже терміново (СРОЧНО)

Приложения:

Ответы

Ответ дал: manyny06
1

решение смотри на фотографии

Приложения:
Вас заинтересует