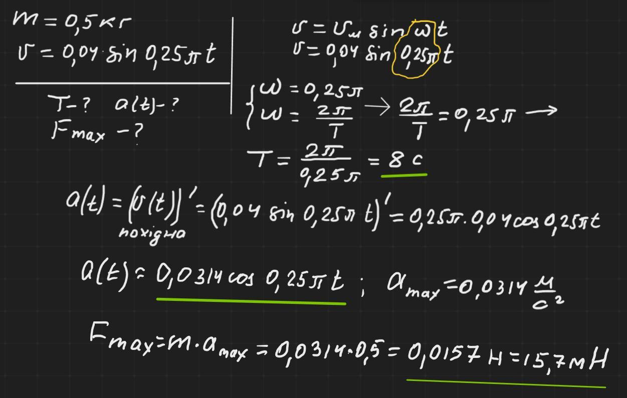
1. Тіло масою 0,5 кг здійснює гармонічні коливання. При цьому
швидкість тіла змінюється за законом υ = 0,04sin0,25πt. Визначити період
коливань, закон зміни прискорення тіла з часом та максимальну силу, що
діє на тіло.
Ответы
Ответ дал:
1
Відповідь: Див. додаток
Пояснення:
Приложения:
Вас заинтересует
2 года назад
2 года назад
2 года назад
2 года назад
8 лет назад
8 лет назад
9 лет назад