• Предмет: Алгебра
  • Автор: polishchuktanya2018
  • Вопрос задан 3 года назад

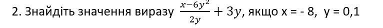
Срочно! помогите полностю расписать

Приложения:

Ответы

Ответ дал: annasukova64
1

Ответ:

Объяснение:

не совсем уверена, правильно-ли

Приложения:
Вас заинтересует