• Предмет: Алгебра
  • Автор: av3411261
  • Вопрос задан 3 года назад

ПОМОГИТЕ МНЕ ЛЕНЬ(
ЗВЕДИ ПОДІБНІ ДОДАНКИ. СОРРИ ЗА 15 БАЛЛОВ

Приложения:

Ответы

Ответ дал: nurbolatbatyrgaliev4
0

Ответ:

лалпопоашелнощедғоңщлетңщлелелещпщеллешешешешещещещеодетклклета


av3411261: ты шо
Ответ дал: perepelicakarina4
0

Ответ:

Объяснение:сори если не првильно


av3411261: ааааааааа где
av3411261: где ответик
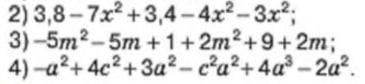
perepelicakarina4: 1)3,8-7x²+3,4-4x²-3x²
7,2-14x
2)-5m²-5m+1+2m²+9+2m
-3m²-3m+10
3)-a²+4c²+3a²-c² a² +4a3-2a
4c²-a²c²+4a³
av3411261: ооооооооооо тспасибо
Вас заинтересует