• Предмет: Математика
  • Автор: nastastamatova
  • Вопрос задан 3 года назад

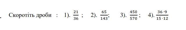
Помогите!!! Скоротить дробь! Только 4 номер.

Приложения:

Ответы

Ответ дал: iyvaligazinov
0

36 * 9 / 15 * 12 = 36 / 15 =12*3/5*3=12/5 =2 2/5

Вас заинтересует