• Предмет: Математика
  • Автор: katyuha3808
  • Вопрос задан 3 года назад

СРОЧНО ДАЮ 15 БАЛЛОВ!

Приложения:

Ответы

Ответ дал: Karina2457966
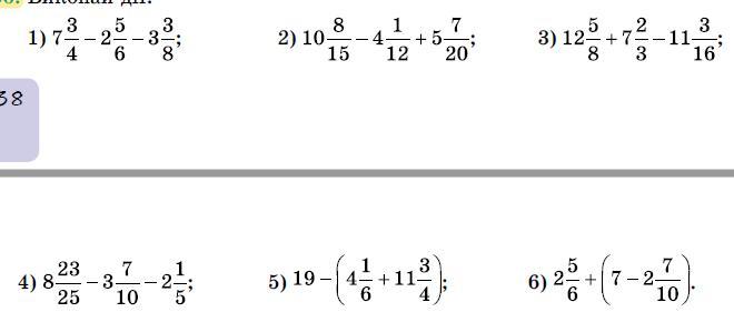
1

Ответ:

1.37/24

2.11 4/5

3.9 5/48

4.3 1/50

5.37/12

6.107/15

Я не знаю точно ли все правильно..

Вас заинтересует