Ответы
Ответ дал:
0
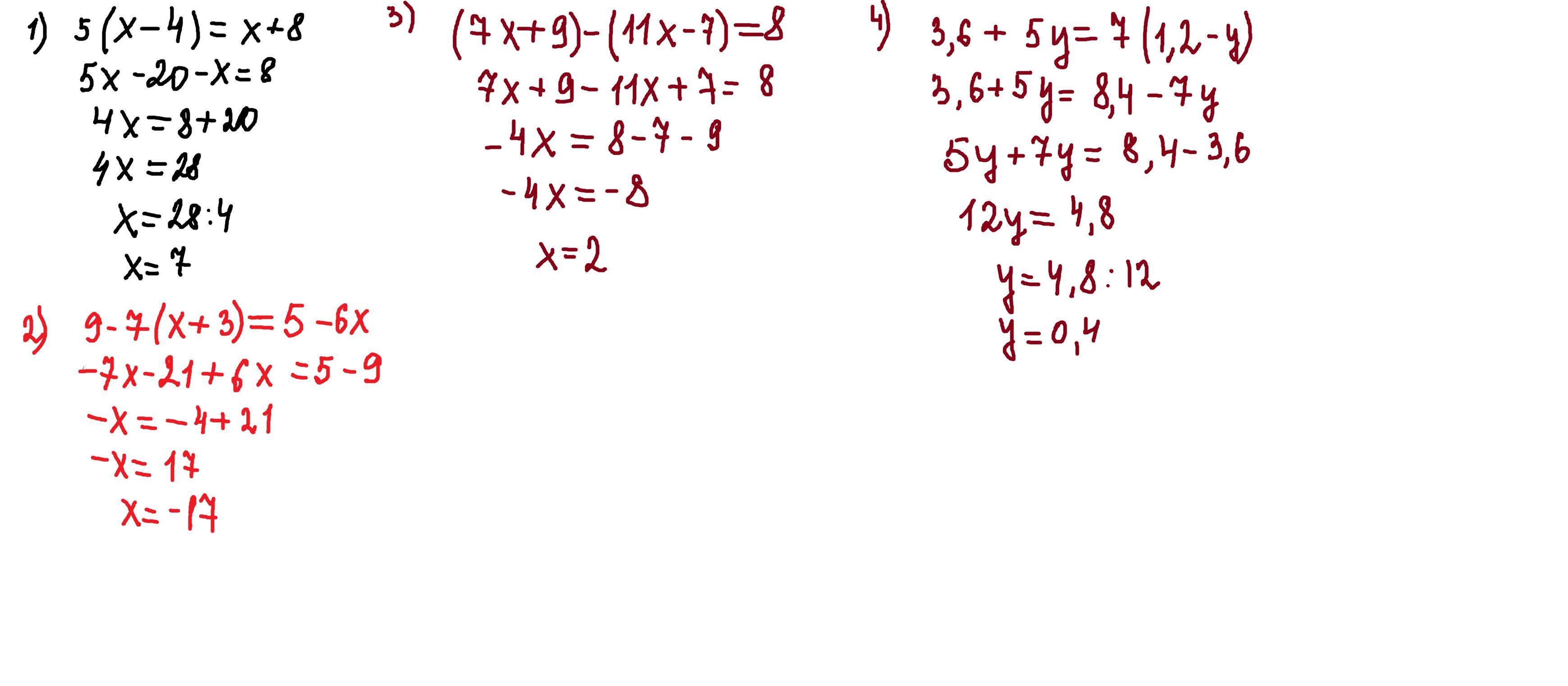
1) 5х-20=х+8
5х-х=8+20
4х=28
Х=7
2)9-7х-21=5-6х
-12-7х=5-6х
-7х+6x=5+12
-x=17
X=-17
3)7x+9-11x+7=8
-4x+16=8
-4x=8-16
-4x=-8
X=2
4)3,6+5y=8,4-7y
5y+7y=8,4-3,6
12y=4,8
Y=0,4
5х-х=8+20
4х=28
Х=7
2)9-7х-21=5-6х
-12-7х=5-6х
-7х+6x=5+12
-x=17
X=-17
3)7x+9-11x+7=8
-4x+16=8
-4x=8-16
-4x=-8
X=2
4)3,6+5y=8,4-7y
5y+7y=8,4-3,6
12y=4,8
Y=0,4
Ответ дал:
0
Ответ:
Объяснение:
решение внизу
Приложения:
Вас заинтересует
2 года назад
2 года назад
2 года назад
8 лет назад
8 лет назад
9 лет назад