• Предмет: Физика
  • Автор: 2222ktnvp7
  • Вопрос задан 3 года назад

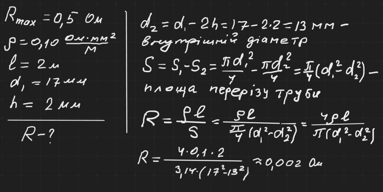
4.Згідно стандартам опір
заземлення не повинен
перевищувати 0,5 Ом. Можна
використовувати
для заземлення
відрізок залізної труби довжиною 2
м. із зовнішнім діаметром 17 мм і
товщиною стінок 2 мм?

Ответы

Ответ дал: zybkov1950
3

Відповідь:    Можна, оскільки опір труби 0,002 Ом менший за допустимий опір 0,5 Ом

Пояснення:

Приложения:
Вас заинтересует