• Предмет: Алгебра
  • Автор: SUPERFUN14
  • Вопрос задан 3 года назад

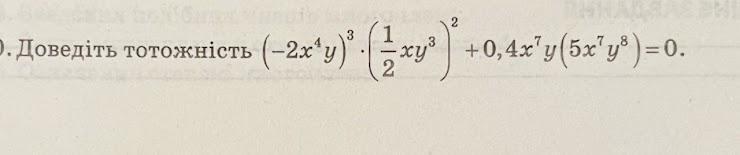
Довести тотожнисть срочно

Приложения:

Ответы

Ответ дал: Entity303Exe
1

Ответ:

Ось я написав докладно. Сподіваюся правильно.

Приложения:
Ответ дал: parus77
1

Ответ:

Объяснение:

доказательство внизу,при решении применяем формулы св-ва степеней

условие не переписывала,сразу решение

Приложения:
Вас заинтересует