• Предмет: Математика
  • Автор: kosd50593
  • Вопрос задан 3 года назад

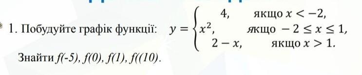
4, 1. Побудуйте графік функції: у = { x², Знайти f(-5), f(0), f(1), f((10). 2-х, якщо x < −2, якщо - 2 < x < 1, 2 1,​

Приложения:

Ответы

Ответ дал: aarr04594
1

Відповідь: фото

Покрокове пояснення: розв'язання завдання додаю

Приложения:

kosd50593: дякую
aarr04594: Нехай щастить.
Вас заинтересует