Срочно допоможіть будь ласка
Довести тотожність
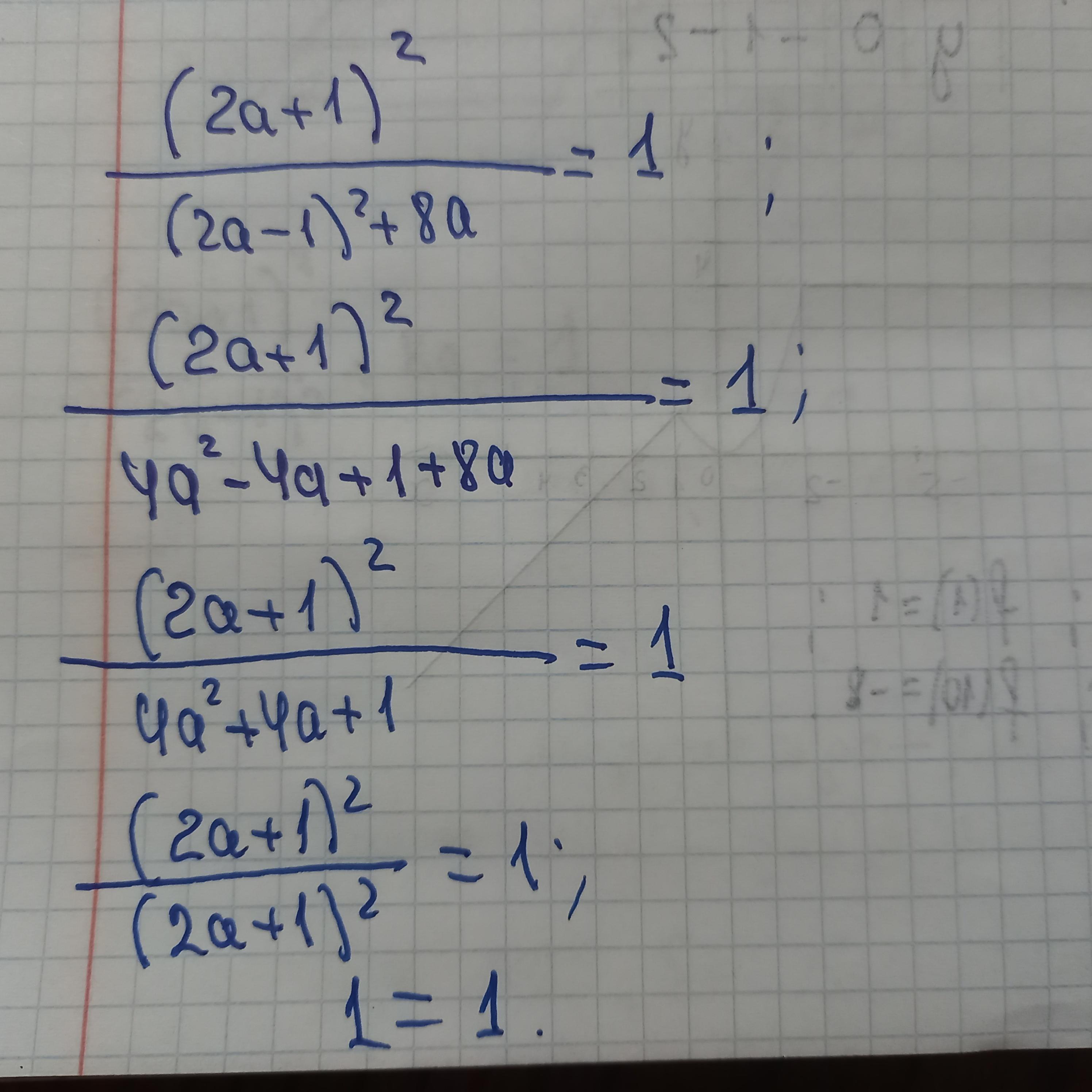
(2a+1)^2/(2a-1)^2+8a =1 (якщо що то це дріб)
Будь ласка з поясненням!!
aarr04594:
8а теж в знаменнику чи окремо?
Ответы
Ответ дал:
8
Відповідь: доведення
Пояснення:
Приложения:

Вас заинтересует
2 года назад
2 года назад
2 года назад
7 лет назад
9 лет назад