• Предмет: Математика
  • Автор: lizatkachuk201015
  • Вопрос задан 3 года назад

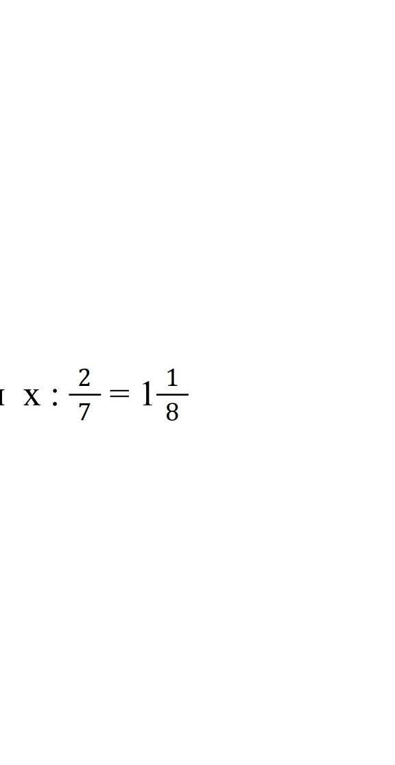
: 2 = 1급 7 HA_X : помогите решить ​

Приложения:

Ответы

Ответ дал: lvv9136
1

Ответ:

х=9/28

Пошаговое объяснение:

⁷/₂х=9/8; х=9*2/(8*7)=9/28

Вас заинтересует