1)Шарик массой 150 г ударяется абсолютно упруго о стену. Подлетает к
стене горизонтально со скоростью 5 м/с. Удар длился 0,009 с. Вычислить
среднюю силу, действующую на шарик во время удара.
2)Пружину жесткостью 20000 н/м сжали. Деформация изменилась от 10 см до 2 см. Какую работу совершила сила упругости?
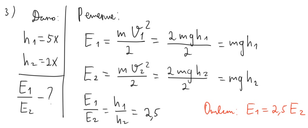
3)Шарики равной массы упали. Первый с пятого этажа, второй со второго. Сравните их энерги в момент падения на землю.
Ответы
Ответ дал:
0
Решение на картинке.
Приложения:


Вас заинтересует
2 года назад
2 года назад
8 лет назад
8 лет назад
10 лет назад
10 лет назад