• Предмет: Алгебра
  • Автор: Аноним
  • Вопрос задан 3 года назад

СРОЧНО

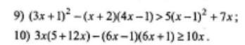
Розвязати 2 рівняння за 100 балов

Приложения:

Ответы

Ответ дал: tatanadocenko1007
0

Ответ: дивись фото

Объяснение:

Приложения:
Вас заинтересует