БИСТРО 100 БАЛОВ ( СПАМЕРАМ И ХАЛЯВЩИКАМ НЕ ПИСАТИ)
РОЗВ'ЯЗАТИ ВСІ РІВНЯННЯ ПОВНІСТЮ!!
Приложения:

Ответы
Ответ дал:
1
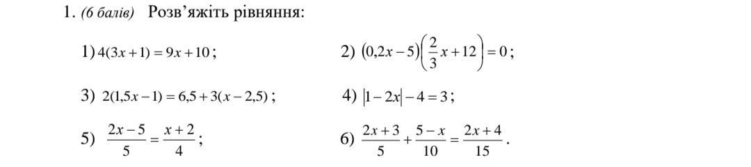
1) 4(3x+1) = 9x+10
12x+4 = 9x+10
12x-9x = 10-4
3x=6
x=6/3
x=2.
2) (0.2x-5)*(2/3*x+12) = 0
0.2x-5 = 0
0.2x=5
x=5/0.2
x= 25.
або 2/3*x+12 = 0
2/3*x = -12
x = -12/ 2/3
x= -12*3/2
x= -18.
3) 2(1.5x-1)=6.5+3(x-2.5)
3x-2 = 6.5+3x-7.5
3x-3x = 14+2
0 = 16
∅
4) |1-2x|-4=3
|1-2x| = 3+4
|1-2x| = 7
1-2x = 7
-2x = 7-1
-2x = 6
x = 6/-2
x = -3.
або 1-2x = -7
-2x = -7-1
-2x = -8
2x = 8
x = 4.
5) (2x-5)/5 = (x+2)/4
4(2x-5) = 5(x+2)
8x-20 = 5x + 10
8x - 5x = 10 + 20
3x = 30
x = 30/3
x = 10.
6) (2x+3)/5 + (5-x)/10 = (2x+4)/15 |*30
12x + 18 + 15 - 3x = 4x + 8
9x - 4x = 8 - 18 - 15
5x = -25
x = -25/5
x = -5.
palvladyt:
Скачай Photomath, лол
Ответ дал:
1
Ответ:
Вот и ответ
Объяснение:
Приложения:

Вас заинтересует
2 года назад
2 года назад
7 лет назад
7 лет назад
9 лет назад