• Предмет: Алгебра
  • Автор: shestopal283
  • Вопрос задан 3 года назад

Допоможіть будь ласка дуже Потрібно будь Ласка ​

Приложения:

Ответы

Ответ дал: nlera8745
1

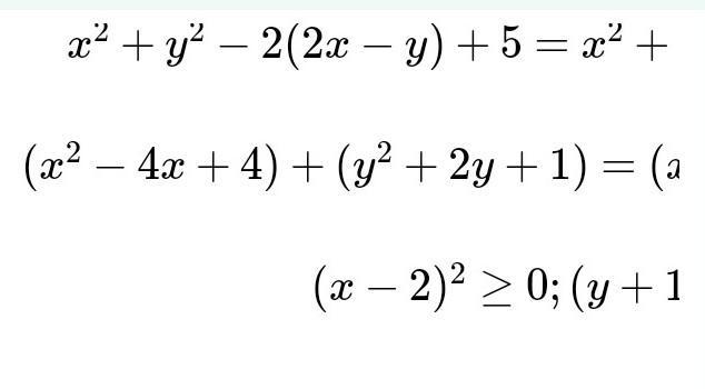
Сума двух Невід'ємний 0

Приложения:
Вас заинтересует