• Предмет: Математика
  • Автор: Ymnauapopka
  • Вопрос задан 3 года назад

Помогите пж ДАЮ 100 БАЛЛОВ

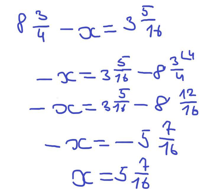
Приложения:

Ответы

Ответ дал: palvladyt
1

Відповідь:
35/4 - x = 53/16 |*16
140 - 16x = 53
-16x = 53 - 140
-16x = 43
x = -43/16
x = -2 11/16.

Ответ дал: Sfordi
0

Ответ:

Смотри ниже решение

Пошаговое объяснение

Приложения:
Вас заинтересует