• Предмет: Алгебра
  • Автор: AndreyPomogatel
  • Вопрос задан 3 года назад

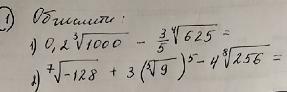
СРОЧНО! 2 примера за 20 баллов

Приложения:

Ответы

Ответ дал: manyny06
1

Ответ:

решение смотри на фотографии

Приложения:
Вас заинтересует