• Предмет: Алгебра
  • Автор: annavol27
  • Вопрос задан 3 года назад

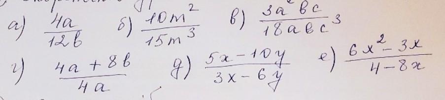
Скоротіть дріб, срочно!!​

Приложения:

yurabrodzinskyy: 1) 1а/3b б)2m/3m2 в)a/6c(в другій степені)

Ответы

Ответ дал: yurabrodzinskyy
0

Ответ:

1) 1а/3b б)2m/3m2 в)a/6c(в другій степені)

Объяснение: друге незнаю допопміг з першими трьома))

Вас заинтересует