Помогите пожалуйста. Даю 60 балов :)
Приложения:

parus77:
а вы в знаменателе первой дроби минус не пропустили?
Ответы
Ответ дал:
1
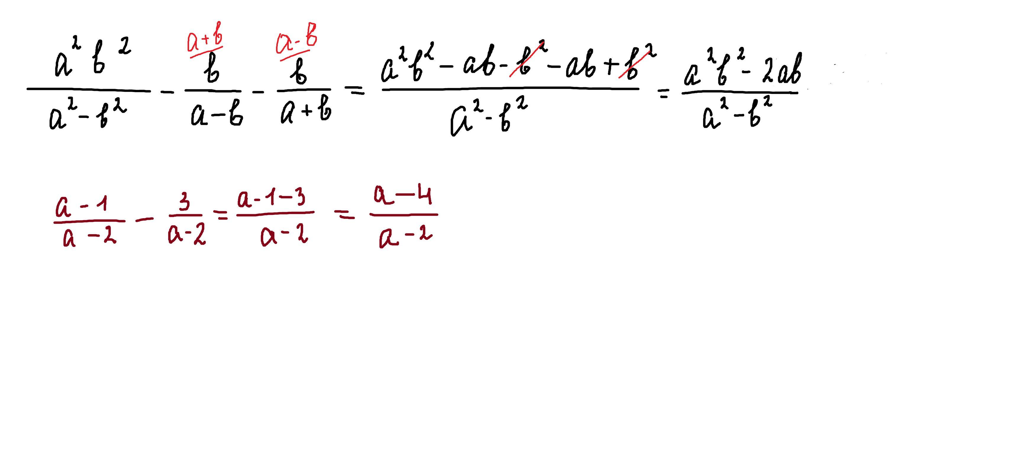
Ответ:
Вот если не сложно поставьте звёзды и лайк. Хорошего дня.
Приложения:

Ответ дал:
1
Ответ:
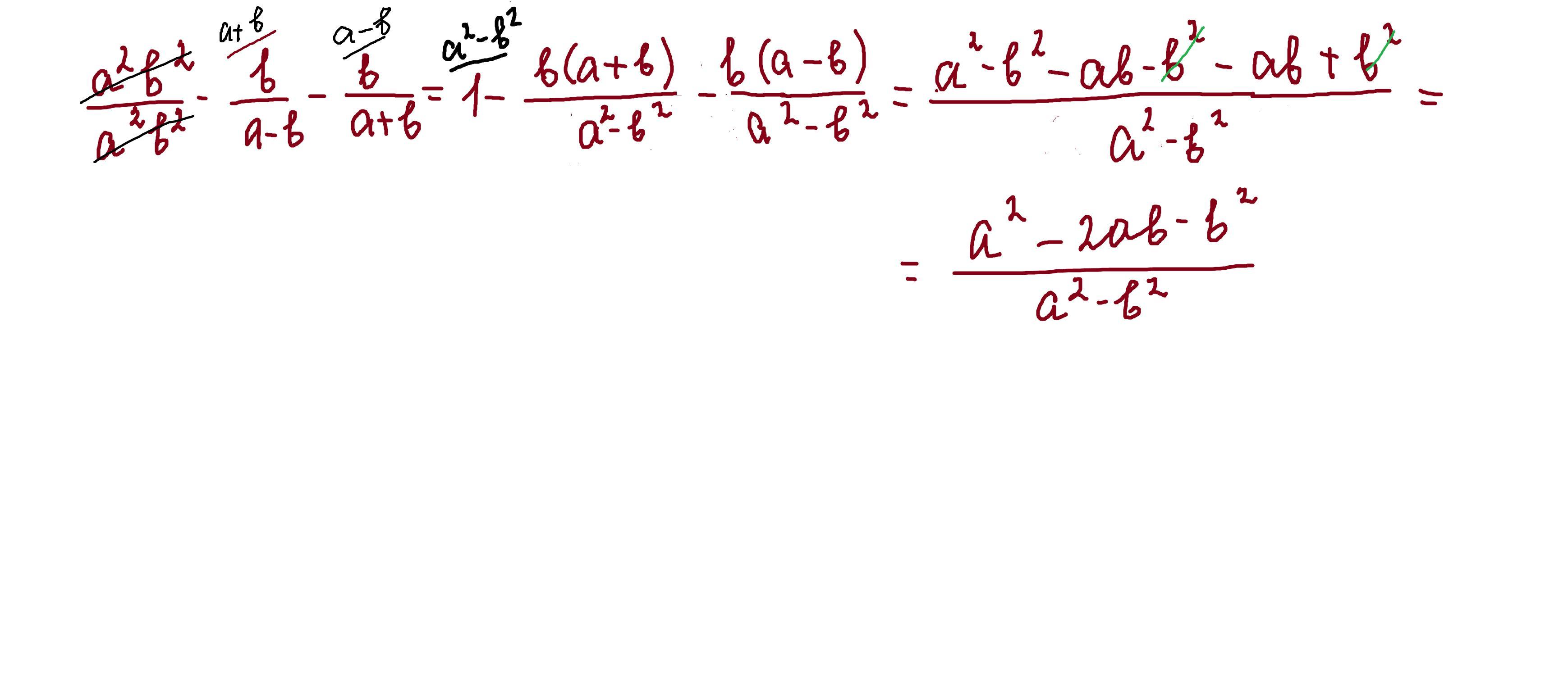
Объяснение:добавила решение именно по вашему вопросу
сначала решила со знаком минус в знаменателе первой дроби.
Приложения:


Вас заинтересует
2 года назад
2 года назад
2 года назад
7 лет назад
7 лет назад
9 лет назад
9 лет назад