• Предмет: Алгебра
  • Автор: darinayudina2009
  • Вопрос задан 3 года назад

помогите пожалуйста

Скоротити дроби:
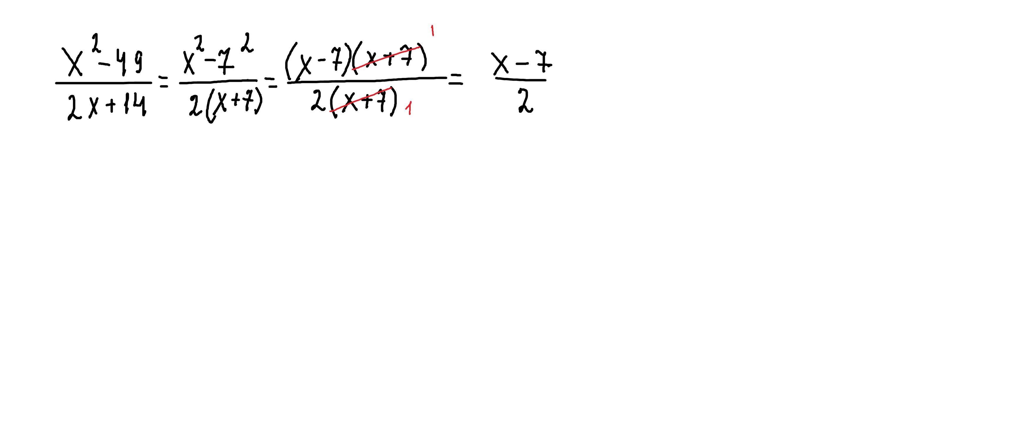
x2-49
----------
2x+14'​


MrProfessor: х²-49?
MrProfessor: это сократить
MrProfessor: ...

Ответы

Ответ дал: parus77
1

Ответ:

Объяснение:

решение внизу

Приложения:
Вас заинтересует