• Предмет: Математика
  • Автор: Nether2
  • Вопрос задан 3 года назад

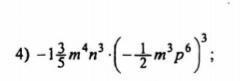
Спростити вираз.

З розв'язком та відповіддю.

Приложения:

Nether2: Срочно плиз!

Ответы

Ответ дал: qusirti
1
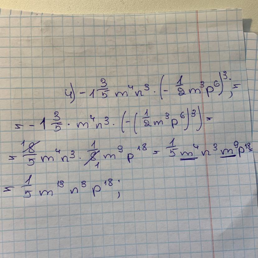
Начебто правильно) Сподіваюсь, ви так вирішуєте..
Приложения:

Nether2: Спасибо бро, у меня в профиле есть ещё такие вопросы, если не трудно, можешь и на них ответить, там подобные предметы.
Вас заинтересует