Ответы
Ответ дал:
0
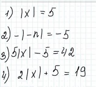
1. Х=-5, х=5
2. n=-5 , n=5
3. x=-47/5 , x=47/5
4. x=-7 , x=7
2. n=-5 , n=5
3. x=-47/5 , x=47/5
4. x=-7 , x=7
Вас заинтересует
2 года назад
2 года назад
2 года назад
2 года назад
8 лет назад
8 лет назад
9 лет назад
9 лет назад