• Предмет: Алгебра
  • Автор: idonotknowww
  • Вопрос задан 3 года назад

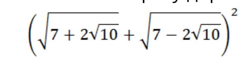
ПОМОГИТЕ ДАЮ 100 БАЛОВ!!
З ПОЛНЫМ РЕШЕНИЕМ

Приложения:

Ответы

Ответ дал: parus77
1

Ответ:

20

Объяснение:

применяем  формулы (а+в)²=а²+2ав+в²    и а²-в²=(а-в)(а+в)

Приложения:

idonotknowww: спасибо
Вас заинтересует