• Предмет: Алгебра
  • Автор: Nastya251209
  • Вопрос задан 3 года назад

Допоможіть будь ласка треба дуже скоро. Даю 25 балів.

Приложения:

Nastya251209: Будь ласка допоможіть в мене час йде, прошу зробіть дуже скоро, бо треба.

Ответы

Ответ дал: parus77
0

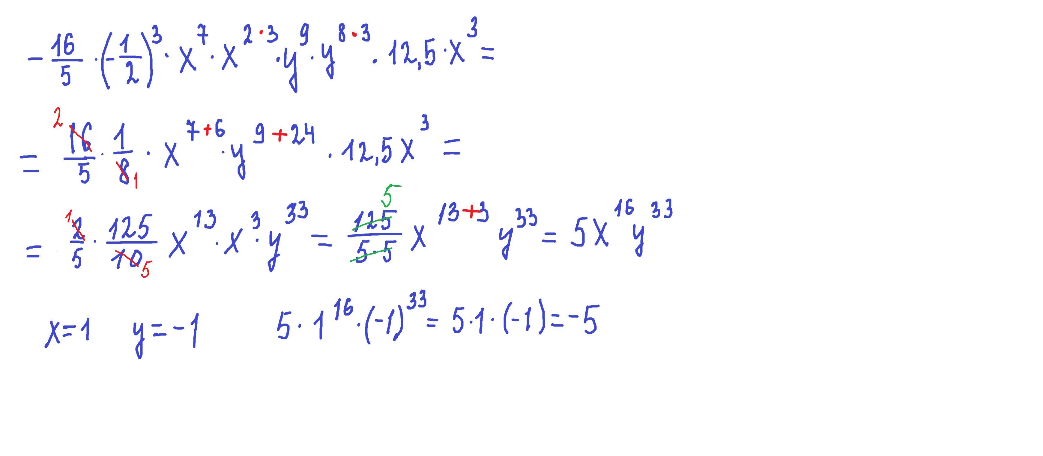
Ответ:

-5

Объяснение: решение внизу

сразу выполняем преобразования, при возведении степени в степень показатели перемножаются,при умножении степеней  с одинаковым основанием  показатели складываются

Приложения:
Вас заинтересует