Ответы
Ответ дал:
1
Ответ:
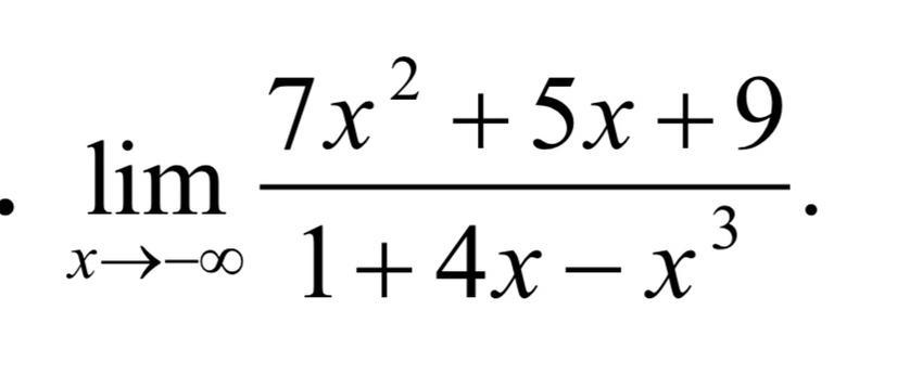
Ответ на фотографии смотри
Приложения:

vacya777999:
спасибо большое, очень помогли, а то теме не пошла)
Вас заинтересует
2 года назад
2 года назад
2 года назад
2 года назад
7 лет назад
7 лет назад
9 лет назад