• Предмет: Алгебра
  • Автор: romansamson777
  • Вопрос задан 3 года назад

пожалуйста помогите
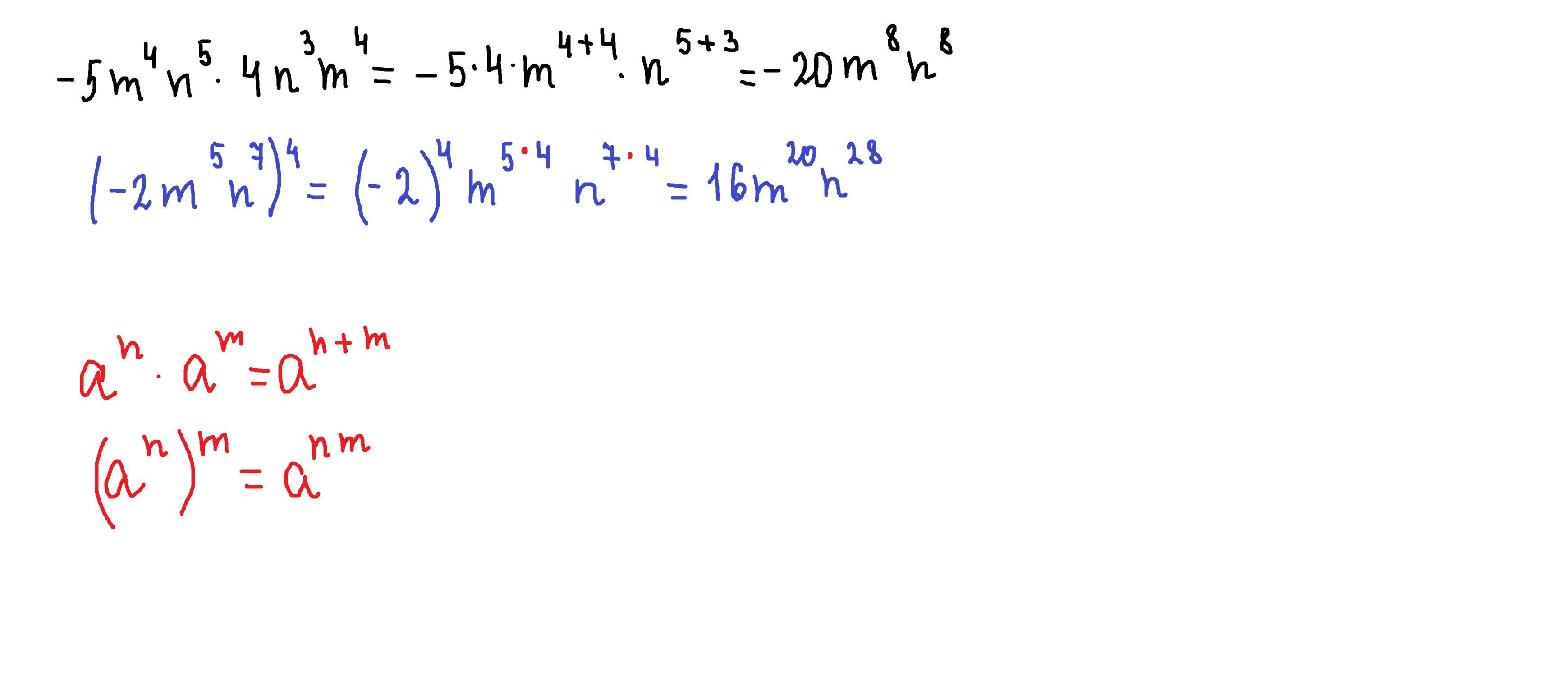
-5m⁴n⁵×4n³m⁴=
(-2m⁵n⁷)⁴
срочного!!

Ответы

Ответ дал: parus77
2

Ответ:

Объяснение:

решение внизу

Приложения:

romansamson777: божееее огромное Вам спасибо
parus77: пожалуйста
Вас заинтересует