• Предмет: Алгебра
  • Автор: den312171
  • Вопрос задан 3 года назад

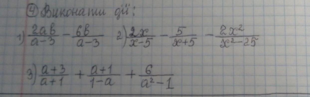
помогите пожалуста решить ​

Приложения:

Ответы

Ответ дал: karina83837
0

Объяснение:

приложение photomath в помощь

Вас заинтересует