• Предмет: Алгебра
  • Автор: polichkosofiia
  • Вопрос задан 3 года назад

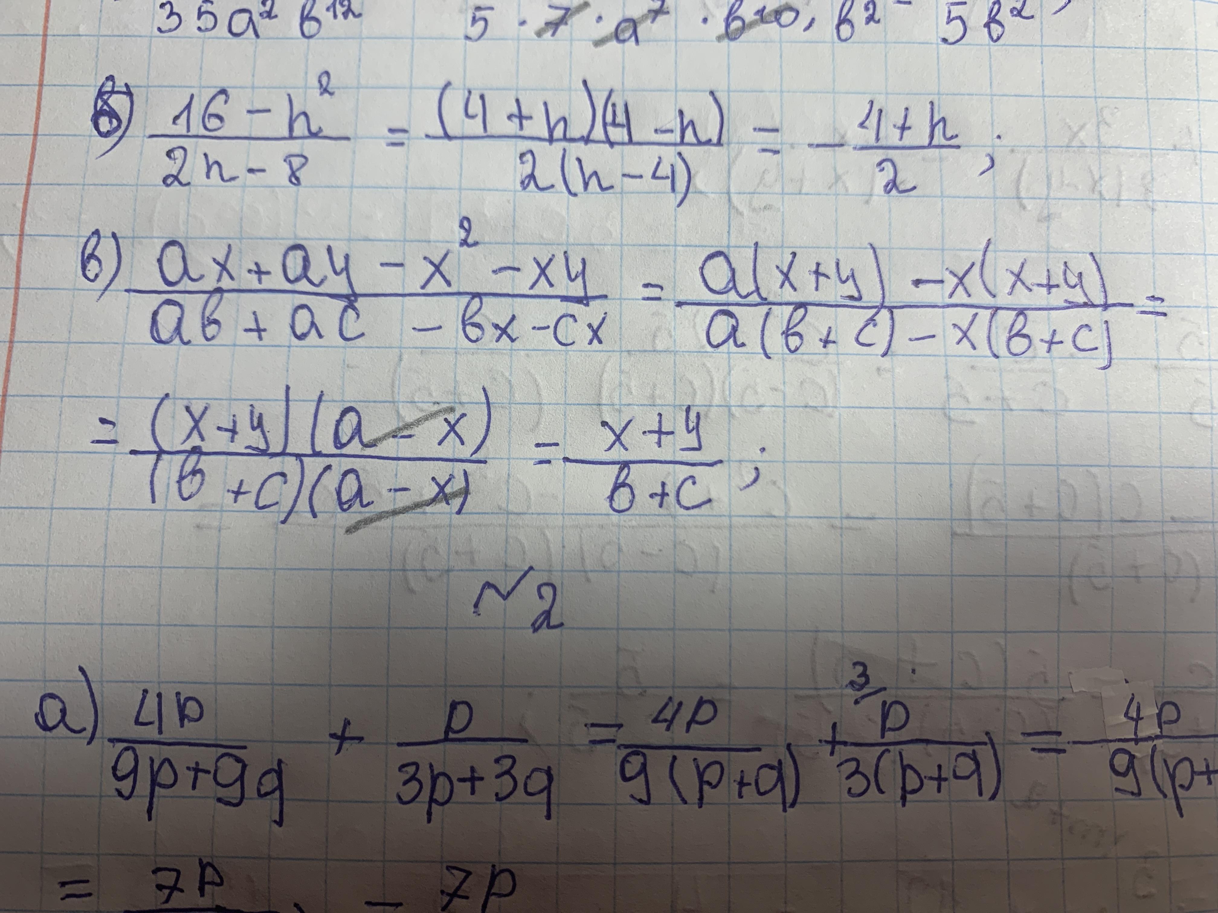
Объясните пожалуйста в примере там где х в степене 2- ху потом мы один х выносим за скобки, а второй пишем в скобках, а куда 3 х делся? Объяснить пожалуйста

Приложения:

Ответы

Ответ дал: konfetokabrawlstars
0

Ответ:

мы вносим множители в скобки, поэтому они исчезли. Там у тебя две а, но одна из них тоже исчезла, так Каз х и у мы внесли в скобку. Из х² один х выносим за скобку, один исчезает как и с а, а х без квадрата идёт в скобку вместе с у. Ну незнаю поймёшь ты или нет.



Объяснение:


polichkosofiia: Спасибо!
polichkosofiia: Здравствуйте, а можете мне пожалуйста помочь с одним примером по алгебре, задание уже опубликовала. Заранее спасибо!
Вас заинтересует