• Предмет: Алгебра
  • Автор: Lining1
  • Вопрос задан 3 года назад

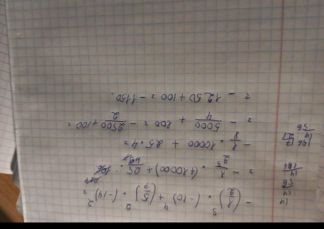
- (0, 5) ^ 3 * (- 10) ^ 4 + (5/7) ^ 2 * (- 14) ^ 2

Ответы

Ответ дал: sinicinaalesa
1

Ответ:

Объяснение:

Решение приведено на фото

Приложения:
Ответ дал: tknurmurat
0

Ответ:

......................

......9уиуу9л3и49кик8ви2и49кта

Приложения:

Lining1: Что?! Это ж было више
Вас заинтересует