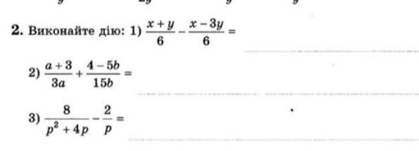
2. Виконайте дію: 1) х+у/6- x-3y/6
2)a+3/3a+ 4-5b/15b
3) 8 /p² + 4p -2 /P
помогите пожалуйся
Приложения:

moroz41:
Просто загрузи це в photomath
Ответы
Ответ дал:
0
Пошаговое объяснение:
1)
(х + у)/6 - (х - 3у)/6 =
(х + у - (х - 3у))/6 = (х + у - х + 3у)/6 =
4у/6 = 2у/3
2)
(а + 3)/3а + (4 - 5в)/15в =
5в(а + 3)/(5в * 3а) + а(4 - 5в)/(а * 15в) =
(5ав + 15в)/15ав + (4а - 5ав)/15ав =
(5ав + 15в + 4а - 5ав)/15ав =
(15в + 4а)/15ав
3)
8/(р² + 4р) - 2/р =
8/(р² + 4р) - 2*(р + 4)/р*(р + 4) =
8/(р² + 4р) - (2р + 8)/(р² + 4р) =
(8 - 2р - 8)/(р² + 4р) = (-2р)/(р² + 4р) =
(-2р)/р(р + 4) = (-2)/(р + 4) = - 2/р+4
Вас заинтересует
1 год назад
1 год назад
1 год назад
1 год назад
3 года назад
3 года назад