• Предмет: Математика
  • Автор: tigrovataisia
  • Вопрос задан 2 года назад

помогите пожалуйста срочно надо!​

Приложения:

Ответы

Ответ дал: Ellino4ka11
2

Ответ:

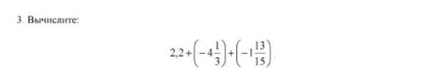
2,2+(-4 1/3)+(-1 13/15)=-4


tigrovataisia: спасибо
Ответ дал: lvv9136
1

Ответ:

= -4

Пошаговое объяснение:

=22/10-13/3-28/15=(22*3-13*10-28*2)/30= -4


tigrovataisia: спасибо
Вас заинтересует